RUVIDEO

Автор / Канал: Деление в столбик Уроки Страница 6

12.11.20 математика 5класс. Деление смотреть онлайн
18:27

12.11.20 математика 5класс. Деление

Деление в столбик Уроки 86 просмотров
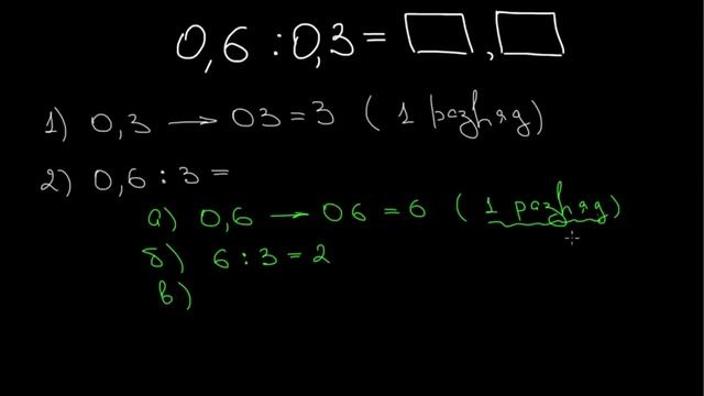
39 Деление десятичной дроби на десятичную дробь A2 1 смотреть онлайн
03:02

39 Деление десятичной дроби на десятичную дробь A2 1

Деление в столбик Уроки 17 просмотров
как не идти в школу и остаться дома советы смотреть онлайн
05:02

как не идти в школу и остаться дома советы

Деление в столбик Уроки 19 просмотров
Вычитание методом заимствования или перегруппировки смотреть онлайн
07:30

Вычитание методом заимствования или перегруппировки

Деление в столбик Уроки 20 просмотров
Институт СДП Консультация №3 3 класс 2020 смотреть онлайн
01:17:05

Институт СДП Консультация №3 3 класс 2020

Деление в столбик Уроки 20 просмотров
Խնդիրների լուծում Microsoft Mathematics-ի օգնությամբ смотреть онлайн
11:12

Խնդիրների լուծում Microsoft Mathematics-ի օգնությամբ

Деление в столбик Уроки 16 просмотров
СтатГрад 29.04.2022 | 1 вариант | Биология ЕГЭ 2022 смотреть онлайн
01:13:44

СтатГрад 29.04.2022 | 1 вариант | Биология ЕГЭ 2022

Деление в столбик Уроки 16 просмотров
Делители и кратные. Простые и составные числа смотреть онлайн
01:31:44

Делители и кратные. Простые и составные числа

Деление в столбик Уроки 23 просмотров
03. Математика 6 класс - Умножение и деление обыкновенных дробей смотреть онлайн
01:42:59

03. Математика 6 класс - Умножение и деление обыкновенных дробей

Деление в столбик Уроки 16 просмотров
Графическое исследование полинома. Примеры. Урок 35 смотреть онлайн
05:12

Графическое исследование полинома. Примеры. Урок 35

Деление в столбик Уроки 28 просмотров
Школа программистов 8 -9 класс. Урок 1 "Цифровые данные. Кодирование и представления" смотреть онлайн
01:04:23

Школа программистов 8 -9 класс. Урок 1 "Цифровые данные. Кодирование и представления"

Деление в столбик Уроки 27 просмотров
Деление на десятичную дробь Математика 5 класс смотреть онлайн
11:10

Деление на десятичную дробь Математика 5 класс

Деление в столбик Уроки 173 просмотров
те кто писал 129 это правильно смотреть онлайн
00:06

те кто писал 129 это правильно

Деление в столбик Уроки 23 просмотров
8б алгебра Деление с остатком смотреть онлайн
12:48

8б алгебра Деление с остатком

Деление в столбик Уроки 45 просмотров
Разбора варианта №1 ОГЭ 2022 смотреть онлайн
01:24:35

Разбора варианта №1 ОГЭ 2022

Деление в столбик Уроки 19 просмотров
Умножение десятичных дробей. 5 класс. смотреть онлайн
34:22

Умножение десятичных дробей. 5 класс.

Деление в столбик Уроки 20 просмотров
Динара Нафикова. Ментальное трехзначное умножение смотреть онлайн
02:40

Динара Нафикова. Ментальное трехзначное умножение

Деление в столбик Уроки 16 просмотров
Проверочная работа по математике смотреть онлайн
22:38

Проверочная работа по математике

Деление в столбик Уроки 20 просмотров
Видеоурок 16. Умножение и деление круглых чисел. Математика 3 класс смотреть онлайн
04:12

Видеоурок 16. Умножение и деление круглых чисел. Математика 3 класс

Деление в столбик Уроки 128 просмотров
Математика. 3 класс. Урок 67. "Умножение и деление полных десятков и сотен" смотреть онлайн
26:07

Математика. 3 класс. Урок 67. "Умножение и деление полных десятков и сотен"

Деление в столбик Уроки 197 просмотров
Консультация для абитуриентов. Математика. Троценко. смотреть онлайн
32:21

Консультация для абитуриентов. Математика. Троценко.

Деление в столбик Уроки 22 просмотров
24 25 26 Умножение столбиком Математика 4 и 5 класс Ридель Алиса смотреть онлайн
25:39

24 25 26 Умножение столбиком Математика 4 и 5 класс Ридель Алиса

Деление в столбик Уроки 18 просмотров
Урок математика 5 класс. Разбор контрольной работы. Трансляция урока. смотреть онлайн
33:06

Урок математика 5 класс. Разбор контрольной работы. Трансляция урока.

Деление в столбик Уроки 26 просмотров
Письменные приёмы сложения трёхзначных чисел смотреть онлайн
02:15

Письменные приёмы сложения трёхзначных чисел

Деление в столбик Уроки 19 просмотров
Назад Вперед

За каждым успешным каналом стоит личность, идея и сотни часов кропотливого труда. Если вы здесь, значит, автор «Деление в столбик Уроки» уже сумел зацепить ваше внимание своим уникальным стилем или подачей. А мы на RUVIDEO позаботились о том, чтобы вы могли изучить весь архив его работ в максимально комфортных условиях — без лишней суеты и преград.

Почему за работами канала «Деление в столбик Уроки» так интересно наблюдать? Всё просто: это честный контент, который находит отклик в сердцах зрителей. На нашем ресурсе вы можете смотреть онлайн все видео любимого автора бесплатно и в хорошем качестве. Нам важно, чтобы вы видели каждую деталь и слышали каждый нюанс, поэтому мы используем только стабильные плееры из открытых источников Rutube.

Следите за новинками канала, пересматривайте старые шедевры и открывайте для себя новые грани творчества «Деление в столбик Уроки». Мы постоянно обновляем ленту, чтобы у вас под рукой всегда были самые свежие выпуски. Никаких сложных регистраций — только вы и творчество, которое вдохновляет. Приятного вам путешествия по миру авторского контента на RUVIDEO!

Видео взято из открытых источников Rutube. Если вы правообладатель, обратитесь к первоисточнику.