RUVIDEO

Автор: Мастер по делению Чисел Страница 4

Упражнение 461 Вариант В. Часть 2 (Задание 1310 Вариант В.) – ГДЗ Математика 5 класс – Виленкин Н.Я смотреть онлайн
02:07

Упражнение 461 Вариант В. Часть 2 (Задание 1310 Вариант В.) – ГДЗ Математика 5 класс – Виленкин Н.Я

Мастер по делению Чисел 22 просмотров
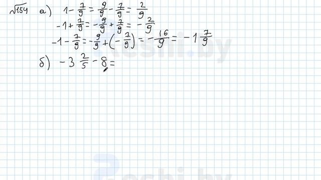
№154 / Глава 4 - ГДЗ по математике 6 класс Герасимов смотреть онлайн
02:41

№154 / Глава 4 - ГДЗ по математике 6 класс Герасимов

Мастер по делению Чисел 24 просмотров
Признаки делимости натуральных чисел. смотреть онлайн
03:05

Признаки делимости натуральных чисел.

Мастер по делению Чисел 25 просмотров
ДІЛЕННЯ ВИДУ 240 : 20 смотреть онлайн
14:38

ДІЛЕННЯ ВИДУ 240 : 20

Мастер по делению Чисел 18 просмотров
Lada Vesta SW Cross на вариаторе. Пробег 40000. Отчет смотреть онлайн
21:54

Lada Vesta SW Cross на вариаторе. Пробег 40000. Отчет

Мастер по делению Чисел 271 просмотров
Divisão: 240 dividido por 6 смотреть онлайн
04:29

Divisão: 240 dividido por 6

Мастер по делению Чисел 23 просмотров
Разность квадратов двух выражений. Практическая часть. 7 класс. смотреть онлайн
08:14

Разность квадратов двух выражений. Практическая часть. 7 класс.

Мастер по делению Чисел 39 просмотров
Задание 8 ОГЭ. Степенные выражения (часть 3) смотреть онлайн
16:30

Задание 8 ОГЭ. Степенные выражения (часть 3)

Мастер по делению Чисел 21 просмотров
? Ментальная Арифметика | Умножение, трёхзначные (Дима, 10 лет) смотреть онлайн
00:41

? Ментальная Арифметика | Умножение, трёхзначные (Дима, 10 лет)

Мастер по делению Чисел 17 просмотров
1кл.Математика.+-3 смотреть онлайн
22:20

1кл.Математика.+-3

Мастер по делению Чисел 17 просмотров
Тест на существо смотреть онлайн
01:25

Тест на существо

Мастер по делению Чисел 17 просмотров
Частина 1. Ділення на двоцифрове число. С. 64. Завдання 2. смотреть онлайн
05:34

Частина 1. Ділення на двоцифрове число. С. 64. Завдання 2.

Мастер по делению Чисел 16 просмотров
Математика 3 класс 113 урок смотреть онлайн
12:56

Математика 3 класс 113 урок

Мастер по делению Чисел 38 просмотров
Страница 98 Задание 5 – Математика 3 класс Моро – Учебник Часть 2 смотреть онлайн
05:49

Страница 98 Задание 5 – Математика 3 класс Моро – Учебник Часть 2

Мастер по делению Чисел 135 просмотров
Ex 6: Divide a Polynomial by a Degree Two Binomial Using Long Division смотреть онлайн
04:13

Ex 6: Divide a Polynomial by a Degree Two Binomial Using Long Division

Мастер по делению Чисел 18 просмотров
COMO DIVIDIR 998 POR 9 смотреть онлайн
05:08

COMO DIVIDIR 998 POR 9

Мастер по делению Чисел 16 просмотров
Математика6 .Урок 15 смотреть онлайн
25:39

Математика6 .Урок 15

Мастер по делению Чисел 16 просмотров
17 LaTeX on SageMathCloud - Aligning mathematics смотреть онлайн
03:29

17 LaTeX on SageMathCloud - Aligning mathematics

Мастер по делению Чисел 17 просмотров
81 урок Литер чт 3 класс урок 81 смотреть онлайн
11:52

81 урок Литер чт 3 класс урок 81

Мастер по делению Чисел 20 просмотров
Упражнение 264 Вариант Б. Учебник Часть 2 (№ 1153 Вар. Б.) – ГДЗ Математика 6 класс – Виленкин Н.Я. смотреть онлайн
02:13

Упражнение 264 Вариант Б. Учебник Часть 2 (№ 1153 Вар. Б.) – ГДЗ Математика 6 класс – Виленкин Н.Я.

Мастер по делению Чисел 47 просмотров
Как вычетать сложные примеры смотреть онлайн
04:15

Как вычетать сложные примеры

Мастер по делению Чисел 17 просмотров
Евгения Чудакова "Забудьте правила или осознанное хулиганство в школе" смотреть онлайн
17:40

Евгения Чудакова "Забудьте правила или осознанное хулиганство в школе"

Мастер по делению Чисел 40 просмотров
Прямо пропорциональная и обратно пропорциональная зависимость. Практическая часть. 6 класс. смотреть онлайн
08:08

Прямо пропорциональная и обратно пропорциональная зависимость. Практическая часть. 6 класс.

Мастер по делению Чисел 49 просмотров
25 ЗАДАЧ ИЗ №3 ЕГЭ по математике - геометрия | Вебинар 10.07.21 | Дрюк Сергей смотреть онлайн
01:26:21

25 ЗАДАЧ ИЗ №3 ЕГЭ по математике - геометрия | Вебинар 10.07.21 | Дрюк Сергей

Мастер по делению Чисел 106 просмотров
Назад Вперед

За каждым успешным каналом стоит личность, идея и сотни часов кропотливого труда. Если вы здесь, значит, автор «Мастер по делению Чисел» уже сумел зацепить ваше внимание своим уникальным стилем или подачей. А мы на RUVIDEO позаботились о том, чтобы вы могли изучить весь архив его работ в максимально комфортных условиях — без лишней суеты и преград.

Почему за работами канала «Мастер по делению Чисел» так интересно наблюдать? Всё просто: это честный контент, который находит отклик в сердцах зрителей. На нашем ресурсе вы можете смотреть онлайн все видео любимого автора бесплатно и в хорошем качестве. Нам важно, чтобы вы видели каждую деталь и слышали каждый нюанс, поэтому мы используем только стабильные плееры из открытых источников Rutube.

Следите за новинками канала, пересматривайте старые шедевры и открывайте для себя новые грани творчества «Мастер по делению Чисел». Мы постоянно обновляем ленту, чтобы у вас под рукой всегда были самые свежие выпуски. Никаких сложных регистраций — только вы и творчество, которое вдохновляет. Приятного вам путешествия по миру авторского контента на RUVIDEO!

Видео взято из открытых источников Rutube. Если вы правообладатель, обратитесь к первоисточнику.