RUVIDEO

Автор / Канал: Волшебные миры Страница 9

Слышит проклятия и молчит (Притч. 29:24) Профессор Андрей Сергеевич Десницкий смотреть онлайн
02:50

Слышит проклятия и молчит (Притч. 29:24) Профессор Андрей Сергеевич Десницкий

Волшебные миры 18 просмотров
Shani Dev Maha Mantra: Nilanjan Samabhasam !! смотреть онлайн
06:50

Shani Dev Maha Mantra: Nilanjan Samabhasam !!

Волшебные миры 20 просмотров
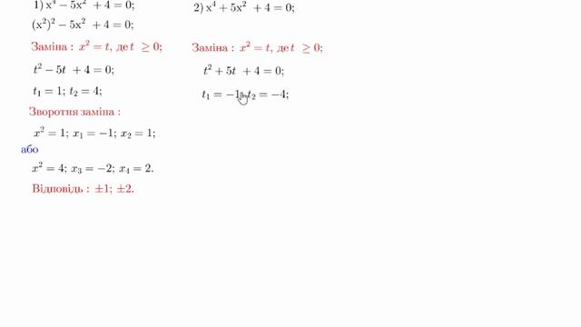
Урок Алгебра 8 клас Рівняння що зводяться до квадратних Біквадратні рівняння смотреть онлайн
10:59

Урок Алгебра 8 клас Рівняння що зводяться до квадратних Біквадратні рівняння

Волшебные миры 15 просмотров
ЧЕТКИ НЕ ДОЛЖНЫ ПОСТИТЬСЯ смотреть онлайн
03:56

ЧЕТКИ НЕ ДОЛЖНЫ ПОСТИТЬСЯ

Волшебные миры 18 просмотров
Великий Канон храм Покрова 03032020 смотреть онлайн
37:33

Великий Канон храм Покрова 03032020

Волшебные миры 19 просмотров
Марафон ИЗОБИЛИЯ Дипак Чопра 9 День Медитация Изобилие и Закон Дарения смотреть онлайн
15:01

Марафон ИЗОБИЛИЯ Дипак Чопра 9 День Медитация Изобилие и Закон Дарения

Волшебные миры 182 просмотров
Туториал : Как изменить цвет глаз в Sony Vegas 13 смотреть онлайн
01:34

Туториал : Как изменить цвет глаз в Sony Vegas 13

Волшебные миры 32 просмотров
Foxgloballtd.com (Fox Global LTD) отзывы – МОШЕННИКИ. Как вернуть деньги? смотреть онлайн
02:18

Foxgloballtd.com (Fox Global LTD) отзывы – МОШЕННИКИ. Как вернуть деньги?

Волшебные миры 17 просмотров
Инородное тело в ноге. Бедный пациент. Серия 1 смотреть онлайн
00:44

Инородное тело в ноге. Бедный пациент. Серия 1

Волшебные миры 25 просмотров
Битту Малик 2020! Мантра Фестиваль! смотреть онлайн
39:59

Битту Малик 2020! Мантра Фестиваль!

Волшебные миры 80 просмотров
Spaceship living room ambience. Music for Sleep | Study | Relax | Meditation смотреть онлайн
03:00:43

Spaceship living room ambience. Music for Sleep | Study | Relax | Meditation

Волшебные миры 21 просмотров
Оптимисты изучают Английский. Пессимисты Китайский. А реалисты автомат Калашникова. Андрей Фурсов. смотреть онлайн
23:37

Оптимисты изучают Английский. Пессимисты Китайский. А реалисты автомат Калашникова. Андрей Фурсов.

Волшебные миры 19 просмотров
ДРЕВНЕСЛАВЯНСКОЕ СЛАВЛЕНИЕ 6 ИЗУЧЕНИЕ ЗВУЧАНИЯ И СМЫСЛА ДРЕВНЕСЛАВЯНСКИХ МАНТР смотреть онлайн
08:15

ДРЕВНЕСЛАВЯНСКОЕ СЛАВЛЕНИЕ 6 ИЗУЧЕНИЕ ЗВУЧАНИЯ И СМЫСЛА ДРЕВНЕСЛАВЯНСКИХ МАНТР

Волшебные миры 18 просмотров
Основы Буддизма. 2022г. урок шестой смотреть онлайн
40:46

Основы Буддизма. 2022г. урок шестой

Волшебные миры 17 просмотров
Атмосферное прохождение Aion Genesis 1.9 за чародея #11 смотреть онлайн
35:07

Атмосферное прохождение Aion Genesis 1.9 за чародея #11

Волшебные миры 17 просмотров
Tantra Mantra to invoke God Mahakala Bhairava with Shri Param Eswaran смотреть онлайн
02:46

Tantra Mantra to invoke God Mahakala Bhairava with Shri Param Eswaran

Волшебные миры 19 просмотров
Медитация на чакру солнечного сплетения смотреть онлайн
06:59

Медитация на чакру солнечного сплетения

Волшебные миры 17 просмотров
Mantra For Healing/Inner Child Connection смотреть онлайн
27:50

Mantra For Healing/Inner Child Connection

Волшебные миры 19 просмотров
What Gayathri Mantra Can Do To Us | Personal Experience of Group Captain Yasas смотреть онлайн
23:52

What Gayathri Mantra Can Do To Us | Personal Experience of Group Captain Yasas

Волшебные миры 16 просмотров
Ресторан-клуб "Клубника" НОЧЬ КОСМОНАВТИКИ смотреть онлайн
03:44

Ресторан-клуб "Клубника" НОЧЬ КОСМОНАВТИКИ

Волшебные миры 19 просмотров
Если вы хотите хороших новостей по утрам, повторяйте эту мощную мантру смотреть онлайн
01:06:47

Если вы хотите хороших новостей по утрам, повторяйте эту мощную мантру

Волшебные миры 31 просмотров
Saraswati Mantra - सरस्वती गायत्री मंत्र - Lyrical Video - Basant Panchami 2023 @spirtualactivity смотреть онлайн
09:49

Saraswati Mantra - सरस्वती गायत्री मंत्र - Lyrical Video - Basant Panchami 2023 @spirtualactivity

Волшебные миры 21 просмотров
РИТА ДАКОТА - Новые Линии АКУСТИКА | RITA DAKOTA смотреть онлайн
04:42

РИТА ДАКОТА - Новые Линии АКУСТИКА | RITA DAKOTA

Волшебные миры 29 просмотров
Варшана, Нандаграм, Кокила Ван - Дхама где поклоняются Шани Деву смотреть онлайн
19:48

Варшана, Нандаграм, Кокила Ван - Дхама где поклоняются Шани Деву

Волшебные миры 24 просмотров
Назад Вперед

За каждым успешным каналом стоит личность, идея и сотни часов кропотливого труда. Если вы здесь, значит, автор «Волшебные миры» уже сумел зацепить ваше внимание своим уникальным стилем или подачей. А мы на RUVIDEO позаботились о том, чтобы вы могли изучить весь архив его работ в максимально комфортных условиях — без лишней суеты и преград.

Почему за работами канала «Волшебные миры» так интересно наблюдать? Всё просто: это честный контент, который находит отклик в сердцах зрителей. На нашем ресурсе вы можете смотреть онлайн все видео любимого автора бесплатно и в хорошем качестве. Нам важно, чтобы вы видели каждую деталь и слышали каждый нюанс, поэтому мы используем только стабильные плееры из открытых источников Rutube.

Следите за новинками канала, пересматривайте старые шедевры и открывайте для себя новые грани творчества «Волшебные миры». Мы постоянно обновляем ленту, чтобы у вас под рукой всегда были самые свежие выпуски. Никаких сложных регистраций — только вы и творчество, которое вдохновляет. Приятного вам путешествия по миру авторского контента на RUVIDEO!

Видео взято из открытых источников Rutube. Если вы правообладатель, обратитесь к первоисточнику.