RUVIDEO

Автор: Оно начинается с ресниц Страница 6

Ресницы и брови в Zdezz Studio смотреть онлайн
00:20

Ресницы и брови в Zdezz Studio

Оно начинается с ресниц 17 просмотров
Таймлапс Роста Волос смотреть онлайн
02:16

Таймлапс Роста Волос

Оно начинается с ресниц 149 просмотров
Диалоги. В гостях врач-трихолог Татьяна Рассказова. смотреть онлайн
11:12

Диалоги. В гостях врач-трихолог Татьяна Рассказова.

Оно начинается с ресниц 20 просмотров
Лада Седан Баклажан+RYTP+ смотреть онлайн
01:47

Лада Седан Баклажан+RYTP+

Оно начинается с ресниц 215 просмотров
Конкурсная работа Кулаковой Дарьи город Алматы третьего тура Oriflame Beauty Award KZ. смотреть онлайн
04:57

Конкурсная работа Кулаковой Дарьи город Алматы третьего тура Oriflame Beauty Award KZ.

Оно начинается с ресниц 18 просмотров
Распаковка Avon 4/2019 + Пакет СЮРПРИЗ! смотреть онлайн
11:00

Распаковка Avon 4/2019 + Пакет СЮРПРИЗ!

Оно начинается с ресниц 16 просмотров
10 DIY's Room Organizer Idea || Cardboard Crafts !!! DIY Projects смотреть онлайн
10:57

10 DIY's Room Organizer Idea || Cardboard Crafts !!! DIY Projects

Оно начинается с ресниц 16 просмотров
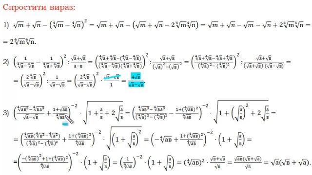
Урок №6 Продовження Перетворення виразів з коренями смотреть онлайн
11:40

Урок №6 Продовження Перетворення виразів з коренями

Оно начинается с ресниц 16 просмотров
ВЫРВАЛ ВОЛОСЫ У ДЕВУШКИ - ПРАНК смотреть онлайн
10:38

ВЫРВАЛ ВОЛОСЫ У ДЕВУШКИ - ПРАНК

Оно начинается с ресниц 38 просмотров
Чому болить спина? Що таке протрузія і як вона виникає? Частина #1 смотреть онлайн
04:16

Чому болить спина? Що таке протрузія і як вона виникає? Частина #1

Оно начинается с ресниц 16 просмотров
белая краска DUFA Harmonieweiss - купить краску в москве, твери, казани - белая краска дюфа смотреть онлайн
01:01

белая краска DUFA Harmonieweiss - купить краску в москве, твери, казани - белая краска дюфа

Оно начинается с ресниц 20 просмотров
Тушь с эффектом гипнотического взгляда. смотреть онлайн
00:16

Тушь с эффектом гипнотического взгляда.

Оно начинается с ресниц 27 просмотров
BEST CC FINDS | Sims 4 Custom Content Haul (Maxis Match) смотреть онлайн
20:20

BEST CC FINDS | Sims 4 Custom Content Haul (Maxis Match)

Оно начинается с ресниц 25 просмотров
everyday QUICK NATURAL MAKEUP ☆゚.*・ 5 min makeover смотреть онлайн
05:56

everyday QUICK NATURAL MAKEUP ☆゚.*・ 5 min makeover

Оно начинается с ресниц 24 просмотров
Вебинар: Фразы в рекламе, которые продают любые товары и услуги | Алексей Аль-Ватар смотреть онлайн
53:21

Вебинар: Фразы в рекламе, которые продают любые товары и услуги | Алексей Аль-Ватар

Оно начинается с ресниц 54 просмотров
?️Complex "Bravo"| Комплекс "Браво"| The Sims 4: Speed Build?️ смотреть онлайн
13:51

?️Complex "Bravo"| Комплекс "Браво"| The Sims 4: Speed Build?️

Оно начинается с ресниц 2225 просмотров
Привлечение клиентов 10 из 10 #наращиваниересниц #ресницыспб смотреть онлайн
00:12

Привлечение клиентов 10 из 10 #наращиваниересниц #ресницыспб

Оно начинается с ресниц 195 просмотров
i LASH FAN. Volumelashes Inovation смотреть онлайн
03:03

i LASH FAN. Volumelashes Inovation

Оно начинается с ресниц 29 просмотров
Новинка 2023: механический парфюм от HUNQ смотреть онлайн
19:19

Новинка 2023: механический парфюм от HUNQ

Оно начинается с ресниц 38 просмотров
Essential Workers Giveaway! Short Hair Styling + Exciting Makeup GRWM смотреть онлайн
29:11

Essential Workers Giveaway! Short Hair Styling + Exciting Makeup GRWM

Оно начинается с ресниц 20 просмотров
Очень сильно выпадают волосы после родов и во время беременности! смотреть онлайн
01:29

Очень сильно выпадают волосы после родов и во время беременности!

Оно начинается с ресниц 18 просмотров
Vetus Tweezers 5A-SA (Half Curve) - Eyelash Extensions Tweezers - Perfect Eyelashes Products смотреть онлайн
01:25

Vetus Tweezers 5A-SA (Half Curve) - Eyelash Extensions Tweezers - Perfect Eyelashes Products

Оно начинается с ресниц 21 просмотров
ВЛОГ || много готовлю | Аватар 2 | футбол | распаковка из Золотого Яблока смотреть онлайн
17:16

ВЛОГ || много готовлю | Аватар 2 | футбол | распаковка из Золотого Яблока

Оно начинается с ресниц 68 просмотров
Я нарисую на снегу ... смотреть онлайн
03:25

Я нарисую на снегу ...

Оно начинается с ресниц 1935 просмотров
Назад Вперед

За каждым успешным каналом стоит личность, идея и сотни часов кропотливого труда. Если вы здесь, значит, автор «Оно начинается с ресниц» уже сумел зацепить ваше внимание своим уникальным стилем или подачей. А мы на RUVIDEO позаботились о том, чтобы вы могли изучить весь архив его работ в максимально комфортных условиях — без лишней суеты и преград.

Почему за работами канала «Оно начинается с ресниц» так интересно наблюдать? Всё просто: это честный контент, который находит отклик в сердцах зрителей. На нашем ресурсе вы можете смотреть онлайн все видео любимого автора бесплатно и в хорошем качестве. Нам важно, чтобы вы видели каждую деталь и слышали каждый нюанс, поэтому мы используем только стабильные плееры из открытых источников Rutube.

Следите за новинками канала, пересматривайте старые шедевры и открывайте для себя новые грани творчества «Оно начинается с ресниц». Мы постоянно обновляем ленту, чтобы у вас под рукой всегда были самые свежие выпуски. Никаких сложных регистраций — только вы и творчество, которое вдохновляет. Приятного вам путешествия по миру авторского контента на RUVIDEO!

Видео взято из открытых источников Rutube. Если вы правообладатель, обратитесь к первоисточнику.