RUVIDEO

Автор: Сделай Это С Удовольствием Страница 12

Три квадрата вместо пяти смотреть онлайн
00:21

Три квадрата вместо пяти

Сделай Это С Удовольствием 29 просмотров
Как заработать деньги!? 4 способа дополнительного заработка смотреть онлайн
12:22

Как заработать деньги!? 4 способа дополнительного заработка

Сделай Это С Удовольствием 155 просмотров
Разделка лосося и оригинальный посол смотреть онлайн
24:55

Разделка лосося и оригинальный посол

Сделай Это С Удовольствием 20 просмотров
О электролитах.Совет радиолюбителям смотреть онлайн
05:46

О электролитах.Совет радиолюбителям

Сделай Это С Удовольствием 17 просмотров
создание акта списания смотреть онлайн
01:39

создание акта списания

Сделай Это С Удовольствием 30 просмотров
Zenfone Max Pro M1 New FOTA Update ( Camera Improvement and more) ? смотреть онлайн
04:00

Zenfone Max Pro M1 New FOTA Update ( Camera Improvement and more) ?

Сделай Это С Удовольствием 19 просмотров
Трёхлопастной бумеранг. Запуск бумеранга. Как летает трёхлопастной бумеранг смотреть онлайн
00:10

Трёхлопастной бумеранг. Запуск бумеранга. Как летает трёхлопастной бумеранг

Сделай Это С Удовольствием 135 просмотров
Чем достать обломанную свечу накаливания смотреть онлайн
01:04

Чем достать обломанную свечу накаливания

Сделай Это С Удовольствием 42 просмотров
DTF печать на футболке в домашних условиях смотреть онлайн
00:45

DTF печать на футболке в домашних условиях

Сделай Это С Удовольствием 102 просмотров
Ковалентная полярная связь, механизм образования смотреть онлайн
03:09

Ковалентная полярная связь, механизм образования

Сделай Это С Удовольствием 44 просмотров
МУЗЕЙ АВИАЦИИ. САМОЛЕТЫ Военные, грузовые и пассажирские, вертолеты. Сидим у штурвала самолета смотреть онлайн
21:47

МУЗЕЙ АВИАЦИИ. САМОЛЕТЫ Военные, грузовые и пассажирские, вертолеты. Сидим у штурвала самолета

Сделай Это С Удовольствием 179 просмотров
ВОССТАНОВЛЕНИЕ ЧИТАЕМОСТИ ГОС НОМЕРА АВТОМОБИЛЯ смотреть онлайн
02:43

ВОССТАНОВЛЕНИЕ ЧИТАЕМОСТИ ГОС НОМЕРА АВТОМОБИЛЯ

Сделай Это С Удовольствием 135 просмотров
Как увеличить присед? Уступающие приседания "Уступы" смотреть онлайн
00:48

Как увеличить присед? Уступающие приседания "Уступы"

Сделай Это С Удовольствием 43 просмотров
Сочинение "Какой я вижу школу будущего" #3 смотреть онлайн
01:16

Сочинение "Какой я вижу школу будущего" #3

Сделай Это С Удовольствием 20 просмотров
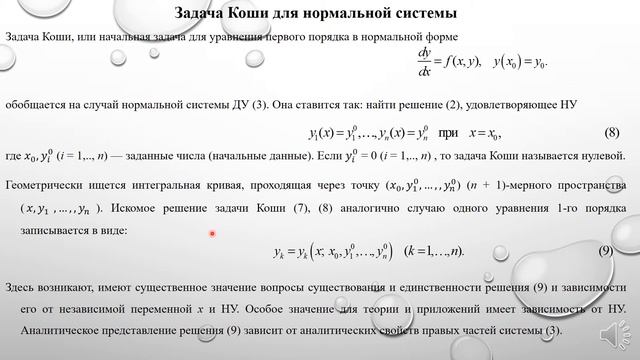
Дифференциальные и разностные уравнения. Л. 12. Системы дифференциальных уравнений. Н.А. Хохлов смотреть онлайн
30:30

Дифференциальные и разностные уравнения. Л. 12. Системы дифференциальных уравнений. Н.А. Хохлов

Сделай Это С Удовольствием 19 просмотров
Что мешает жить людям - Лабиринты Знаний смотреть онлайн
13:05

Что мешает жить людям - Лабиринты Знаний

Сделай Это С Удовольствием 22 просмотров
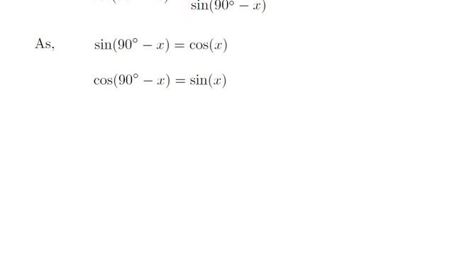
cot(90 – x) | cot(90 – A) | cot(90 – theta) | Identity for cot(90 – x) | value of cot(90 – A) смотреть онлайн
02:00

cot(90 – x) | cot(90 – A) | cot(90 – theta) | Identity for cot(90 – x) | value of cot(90 – A)

Сделай Это С Удовольствием 17 просмотров
Как плести чехол для телефона. смотреть онлайн
03:09

Как плести чехол для телефона.

Сделай Это С Удовольствием 23 просмотров
Какие вопросы задать работодателю на собеседовании? смотреть онлайн
56:41

Какие вопросы задать работодателю на собеседовании?

Сделай Это С Удовольствием 46 просмотров
Матем 2 клас урок 126 Календар весняних місяців. Складання і розв’язування задач. Листопад смотреть онлайн
11:05

Матем 2 клас урок 126 Календар весняних місяців. Складання і розв’язування задач. Листопад

Сделай Это С Удовольствием 18 просмотров
Как избавится от сестры, которая живёт с вами в комнате. смотреть онлайн
10:30

Как избавится от сестры, которая живёт с вами в комнате.

Сделай Это С Удовольствием 82 просмотров
История 8кл. А.Юдовская §3 Дополнительные материалы смотреть онлайн
10:23

История 8кл. А.Юдовская §3 Дополнительные материалы

Сделай Это С Удовольствием 47 просмотров
Сборник видео про куклы. Барби, Штеффи и Кен в Салоне Красоты. Игрушки для девочек и игры в одевалк смотреть онлайн
16:40

Сборник видео про куклы. Барби, Штеффи и Кен в Салоне Красоты. Игрушки для девочек и игры в одевалк

Сделай Это С Удовольствием 497 просмотров
Диагональные махи стоя на четвереньках. Техника выполнения. Упражнение для укрепления спины. смотреть онлайн
02:21

Диагональные махи стоя на четвереньках. Техника выполнения. Упражнение для укрепления спины.

Сделай Это С Удовольствием 96 просмотров
Назад Вперед

За каждым успешным каналом стоит личность, идея и сотни часов кропотливого труда. Если вы здесь, значит, автор «Сделай Это С Удовольствием» уже сумел зацепить ваше внимание своим уникальным стилем или подачей. А мы на RUVIDEO позаботились о том, чтобы вы могли изучить весь архив его работ в максимально комфортных условиях — без лишней суеты и преград.

Почему за работами канала «Сделай Это С Удовольствием» так интересно наблюдать? Всё просто: это честный контент, который находит отклик в сердцах зрителей. На нашем ресурсе вы можете смотреть онлайн все видео любимого автора бесплатно и в хорошем качестве. Нам важно, чтобы вы видели каждую деталь и слышали каждый нюанс, поэтому мы используем только стабильные плееры из открытых источников Rutube.

Следите за новинками канала, пересматривайте старые шедевры и открывайте для себя новые грани творчества «Сделай Это С Удовольствием». Мы постоянно обновляем ленту, чтобы у вас под рукой всегда были самые свежие выпуски. Никаких сложных регистраций — только вы и творчество, которое вдохновляет. Приятного вам путешествия по миру авторского контента на RUVIDEO!

Видео взято из открытых источников Rutube. Если вы правообладатель, обратитесь к первоисточнику.