RUVIDEO

Автор: ГЕОМЕТРИЯ С НУЛЯ Страница 8

№1013. Найдите sin α, если- а) cos α =½; б) cos α =-⅔; в) cos α = -1. смотреть онлайн
02:04

№1013. Найдите sin α, если- а) cos α =½; б) cos α =-⅔; в) cos α = -1.

ГЕОМЕТРИЯ С НУЛЯ 1018 просмотров
№1014. Найдите cos α, если- а) sin α =√3-2; б) sin α = ¼ в) sin α=0. смотреть онлайн
01:44

№1014. Найдите cos α, если- а) sin α =√3-2; б) sin α = ¼ в) sin α=0.

ГЕОМЕТРИЯ С НУЛЯ 281 просмотров
№1016. Вычислите синусы, косинусы и тангенсы углов 120°, 135°, 150°. смотреть онлайн
04:15

№1016. Вычислите синусы, косинусы и тангенсы углов 120°, 135°, 150°.

ГЕОМЕТРИЯ С НУЛЯ 1009 просмотров
№1017. Постройте ∠А, если- a) sinA=⅔; б) cosA = ¾; в) cosA = -2-5. смотреть онлайн
02:08

№1017. Постройте ∠А, если- a) sinA=⅔; б) cosA = ¾; в) cosA = -2-5.

ГЕОМЕТРИЯ С НУЛЯ 2146 просмотров
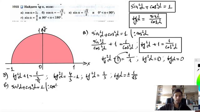
№1015. Найдите tg α, если- a) cos α = 1; б) cos α = -√3-2 смотреть онлайн
06:42

№1015. Найдите tg α, если- a) cos α = 1; б) cos α = -√3-2

ГЕОМЕТРИЯ С НУЛЯ 1043 просмотров
№1012. Проверьте, что точки М1(0; 1), M2(½;√3-2), M3(√2-2; √2-2) смотреть онлайн
08:18

№1012. Проверьте, что точки М1(0; 1), M2(½;√3-2), M3(√2-2; √2-2)

ГЕОМЕТРИЯ С НУЛЯ 1588 просмотров
97. Синус, косинус, тангенс, котангенс смотреть онлайн
03:27

97. Синус, косинус, тангенс, котангенс

ГЕОМЕТРИЯ С НУЛЯ 428 просмотров
98. Основное тригонометрическое тождество. Формулы приведения смотреть онлайн
02:07

98. Основное тригонометрическое тождество. Формулы приведения

ГЕОМЕТРИЯ С НУЛЯ 61 просмотров
99. Формулы для вычисления координат точки смотреть онлайн
01:27

99. Формулы для вычисления координат точки

ГЕОМЕТРИЯ С НУЛЯ 152 просмотров
№1011. Ответьте на вопросы- а) Может ли абсцисса точки единичной полуокружности иметь значения 0,3 смотреть онлайн
01:25

№1011. Ответьте на вопросы- а) Может ли абсцисса точки единичной полуокружности иметь значения 0,3

ГЕОМЕТРИЯ С НУЛЯ 354 просмотров
№2. Отметьте три точки A, B и C не лежащие на одной прямой, и проведите прямые AB, BC и CA. смотреть онлайн
00:34

№2. Отметьте три точки A, B и C не лежащие на одной прямой, и проведите прямые AB, BC и CA.

ГЕОМЕТРИЯ С НУЛЯ 1201 просмотров
1. Точки, прямые смотреть онлайн
02:51

1. Точки, прямые

ГЕОМЕТРИЯ С НУЛЯ 303 просмотров
№1. Проведите прямую, обозначьте её буквой а и отметьте точки А и В, лежащие на этой прямой , и смотреть онлайн
01:07

№1. Проведите прямую, обозначьте её буквой а и отметьте точки А и В, лежащие на этой прямой , и

ГЕОМЕТРИЯ С НУЛЯ 767 просмотров
2. Провешивание прямой на местности смотреть онлайн
01:34

2. Провешивание прямой на местности

ГЕОМЕТРИЯ С НУЛЯ 403 просмотров
№3. Проведите три прямые так, чтобы каждые две из них пересекались. смотреть онлайн
01:31

№3. Проведите три прямые так, чтобы каждые две из них пересекались.

ГЕОМЕТРИЯ С НУЛЯ 1986 просмотров
№4. Отметьте точки A, B, C, D так чтобы точки A, B, C лежали на одной прямой смотреть онлайн
01:07

№4. Отметьте точки A, B, C, D так чтобы точки A, B, C лежали на одной прямой

ГЕОМЕТРИЯ С НУЛЯ 2098 просмотров
№6. Проведите прямую и отметьте на ней три точки. Сколько отрезков получиться на прямой? смотреть онлайн
00:46

№6. Проведите прямую и отметьте на ней три точки. Сколько отрезков получиться на прямой?

ГЕОМЕТРИЯ С НУЛЯ 1139 просмотров
№7. На рисунке 10 изображена прямая, на ней отмечены точки A, B, C и D. Назовите все отрезки- смотреть онлайн
01:29

№7. На рисунке 10 изображена прямая, на ней отмечены точки A, B, C и D. Назовите все отрезки-

ГЕОМЕТРИЯ С НУЛЯ 866 просмотров
№5. Проведите прямую а и отметьте на ней точки А и В . Отметьте смотреть онлайн
02:41

№5. Проведите прямую а и отметьте на ней точки А и В . Отметьте

ГЕОМЕТРИЯ С НУЛЯ 1348 просмотров
Лемма о трезубце, трилистнике, Мансиона, куриной лапке смотреть онлайн
08:25

Лемма о трезубце, трилистнике, Мансиона, куриной лапке

ГЕОМЕТРИЯ С НУЛЯ 30 просмотров
Лемма о трезубце, трилистнике, Мансиона, куриной лапке смотреть онлайн
08:25

Лемма о трезубце, трилистнике, Мансиона, куриной лапке

ГЕОМЕТРИЯ С НУЛЯ 14 просмотров
№6. Биссектрисы углов A и B при боковой стороне AB трапеции ABCD пересекаются в точке F. Найдите AB, смотреть онлайн
03:21

№6. Биссектрисы углов A и B при боковой стороне AB трапеции ABCD пересекаются в точке F. Найдите AB,

ГЕОМЕТРИЯ С НУЛЯ 692 просмотров
№6. Биссектрисы углов A и B при боковой стороне AB трапеции ABCD пересекаются в точке F. Найдите AB, смотреть онлайн
03:21

№6. Биссектрисы углов A и B при боковой стороне AB трапеции ABCD пересекаются в точке F. Найдите AB,

ГЕОМЕТРИЯ С НУЛЯ 15 просмотров
№5. Катет и гипотенуза прямоугольного треугольника равны 21 и 75. Найдите высоту, проведённую к гипо смотреть онлайн
03:21

№5. Катет и гипотенуза прямоугольного треугольника равны 21 и 75. Найдите высоту, проведённую к гипо

ГЕОМЕТРИЯ С НУЛЯ 440 просмотров
Назад Вперед

За каждым успешным каналом стоит личность, идея и сотни часов кропотливого труда. Если вы здесь, значит, автор «ГЕОМЕТРИЯ С НУЛЯ» уже сумел зацепить ваше внимание своим уникальным стилем или подачей. А мы на RUVIDEO позаботились о том, чтобы вы могли изучить весь архив его работ в максимально комфортных условиях — без лишней суеты и преград.

Почему за работами канала «ГЕОМЕТРИЯ С НУЛЯ» так интересно наблюдать? Всё просто: это честный контент, который находит отклик в сердцах зрителей. На нашем ресурсе вы можете смотреть онлайн все видео любимого автора бесплатно и в хорошем качестве. Нам важно, чтобы вы видели каждую деталь и слышали каждый нюанс, поэтому мы используем только стабильные плееры из открытых источников Rutube.

Следите за новинками канала, пересматривайте старые шедевры и открывайте для себя новые грани творчества «ГЕОМЕТРИЯ С НУЛЯ». Мы постоянно обновляем ленту, чтобы у вас под рукой всегда были самые свежие выпуски. Никаких сложных регистраций — только вы и творчество, которое вдохновляет. Приятного вам путешествия по миру авторского контента на RUVIDEO!

Видео взято из открытых источников Rutube. Если вы правообладатель, обратитесь к первоисточнику.