RUVIDEO
М

Математика для школьников: сложение, вычитание, умножение

Смотреть все онлайн видео автора канала

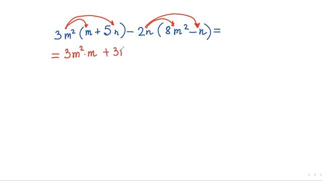
умножение одночлена на многочлен 7 класс, урок 1 смотреть онлайн 20:54

умножение одночлена на многочлен 7 класс, урок 1

Умножение многочлена на многочлен смотреть онлайн 03:11

Умножение многочлена на многочлен

Вычитание с переходом через десяток 1 класс смотреть онлайн 05:01

Вычитание с переходом через десяток 1 класс

Множення багатоцифрових чисел на двоцифрові. Задачі на знаходження середнього арифметичного смотреть онлайн 13:09

Множення багатоцифрових чисел на двоцифрові. Задачі на знаходження середнього арифметичного

ПИСЬМЕННОЕ ВЫЧИТАНИЕ МНОГОЗНАЧНЫХ ЧИСЕЛ смотреть онлайн 22:04

ПИСЬМЕННОЕ ВЫЧИТАНИЕ МНОГОЗНАЧНЫХ ЧИСЕЛ

Математика 1 класс 32 неделя  Сложение и вычитание в пределах 20 без перехода через смотреть онлайн 04:35

Математика 1 класс 32 неделя Сложение и вычитание в пределах 20 без перехода через

Деление суммы на число  Видеоурок  Математика 3 Класс смотреть онлайн 07:32

Деление суммы на число Видеоурок Математика 3 Класс

Обучение на СО Вычитание с переходом через десяток смотреть онлайн 02:25

Обучение на СО Вычитание с переходом через десяток

Порядковые числительные в английском языке. смотреть онлайн 02:14

Порядковые числительные в английском языке.

Письменное деление трёхзначного числа на однозначное с остатком смотреть онлайн 05:51

Письменное деление трёхзначного числа на однозначное с остатком

Кот кубокот Обучающий мультик для детей серия 37 Про деление двузначных чисел смотреть онлайн 04:38

Кот кубокот Обучающий мультик для детей серия 37 Про деление двузначных чисел

Сложение и вычитание двузначных чисел. смотреть онлайн 25:15

Сложение и вычитание двузначных чисел.

Полный разбор 10 задания | ОГЭ по информатике 2024 смотреть онлайн 07:28

Полный разбор 10 задания | ОГЭ по информатике 2024

сложение и вычитание  в пределах 10 смотреть онлайн 04:08

сложение и вычитание в пределах 10

7. Вычитание столбиком двузначных чисел ✅ Математика 2 класс💻 Видеоурок с аватаром🤖 смотреть онлайн 09:03

7. Вычитание столбиком двузначных чисел ✅ Математика 2 класс💻 Видеоурок с аватаром🤖

numberblocks:number comparison ? zero to beyond infinity) смотреть онлайн 31:23

numberblocks:number comparison ? zero to beyond infinity)

как сделать знак бесконечности на калькуляторе вот решение 3 способа смотреть онлайн 02:32

как сделать знак бесконечности на калькуляторе вот решение 3 способа

Представление целых и вещественных чисел в компьютере смотреть онлайн 03:46

Представление целых и вещественных чисел в компьютере

"Вычитание вида 52 - 24" Математика 2 класс Школа России смотреть онлайн 02:36

"Вычитание вида 52 - 24" Математика 2 класс Школа России

Простое сложение вычитание  4 числа медленно смотреть онлайн 01:46

Простое сложение вычитание 4 числа медленно

Сложение и вычитание в пределах 10. смотреть онлайн 05:17

Сложение и вычитание в пределах 10.

Замена двузначного числа суммой разрядных слагаемых. Математика. 2 класс смотреть онлайн 52:20

Замена двузначного числа суммой разрядных слагаемых. Математика. 2 класс

Властивості додавання раціональних чисел смотреть онлайн 10:14

Властивості додавання раціональних чисел

как умножать трёхзначные на двузначные числа  в столбик смотреть онлайн 02:29

как умножать трёхзначные на двузначные числа в столбик

Страница 1 Вперед →
Рады Вас приветствовать на ruvideo.click, только у нас в кинотеатре у вас есть возможность сделать выбор из огромного количества и посмотреть интересующие онлайн фильмы. Без регистрации, онлайн и при чем совершенно бесплатно вы здесь можете смотреть любой фильм или видео, без отправки смс сообщений и пустой траты денег, все что необходимо это включить и получать удовольствие от просмотра. Лучшего качества видео вы просто не найдете. У нас база видео контента обновляется ежедневно, и это касается не только фильмов, но и сериалов и телепередач. Мировые премьеры как отечественного так и зарубежного кинематографа появляются на сайте одновременно с выходом в прокат. Доброго времени суток и приятного всем просмотра! Лучше чем онлайн кинотеатр ULTRADOX!

Недавно смотрели видео онлайн