RUVIDEO
Р

Радужные горизонты

Смотреть все онлайн видео автора канала

Quality of Life and Living Expenses in Lisbon, Portugal 🇵🇹 смотреть онлайн 13:15

Quality of Life and Living Expenses in Lisbon, Portugal 🇵🇹

Эрте менен кечинде айтса Бейиш Важиб болот! (хадис)//Мощный Зикр от Врат Рая смотреть онлайн 00:41

Эрте менен кечинде айтса Бейиш Важиб болот! (хадис)//Мощный Зикр от Врат Рая

Что делать, если я не могу сдержаться и кричу на ребенка? смотреть онлайн 44:21

Что делать, если я не могу сдержаться и кричу на ребенка?

Итоги социально-экономического развития Гомеля рассмотрели на заседании горисполкома смотреть онлайн 03:39

Итоги социально-экономического развития Гомеля рассмотрели на заседании горисполкома

Сколько нужно времени на 99 уровне чтобы сделать все дела. ХЕЙ ДЕЙ.😉🤗 смотреть онлайн 21:49

Сколько нужно времени на 99 уровне чтобы сделать все дела. ХЕЙ ДЕЙ.😉🤗

Captives - Project MOVE Streetdance Year 3 (Accenture BPO Olympics 2013) смотреть онлайн 05:14

Captives - Project MOVE Streetdance Year 3 (Accenture BPO Olympics 2013)

🎼 Ноты Лейся, песня - Где же ты была. Урок на пианино смотреть онлайн 03:25

🎼 Ноты Лейся, песня - Где же ты была. Урок на пианино

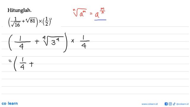
Hitunglah. (1/akar(16) + 81^(1/4)) x (1/2)^2 смотреть онлайн 01:43

Hitunglah. (1/akar(16) + 81^(1/4)) x (1/2)^2

Борьба с мучнистой росой и  подкормка по листу.Der Kampf gegen Mehltau und die Fütterung des Blatte смотреть онлайн 01:29

Борьба с мучнистой росой и подкормка по листу.Der Kampf gegen Mehltau und die Fütterung des Blatte

долгий спиннер смотреть онлайн 01:19

долгий спиннер

PUBG LITE Гайд для Новичков смотреть онлайн 41:14

PUBG LITE Гайд для Новичков

Salomon Snowcross CS vs Asics GEL FUJI SETSU, russian edition 2015 смотреть онлайн 05:15

Salomon Snowcross CS vs Asics GEL FUJI SETSU, russian edition 2015

Проверка смотреть онлайн 06:24

Проверка

Economics Class 12 MCQ Questions | 12th अर्थशास्त्र | Economics Class 12 Important Questions 2023 смотреть онлайн 55:35

Economics Class 12 MCQ Questions | 12th अर्थशास्त्र | Economics Class 12 Important Questions 2023

Дважды герой советского союза ЧЕЧЕНЕЦ смотреть онлайн 01:52

Дважды герой советского союза ЧЕЧЕНЕЦ

Relógio Diesel DZ4348 5 BAR смотреть онлайн 01:16

Relógio Diesel DZ4348 5 BAR

группа НестанДарт: Гульсум Хусаенова и Бурхан Абузаров - Мин сине яратам смотреть онлайн 03:00

группа НестанДарт: Гульсум Хусаенова и Бурхан Абузаров - Мин сине яратам

Ну что мне делать.... смотреть онлайн 00:05

Ну что мне делать....

Что я слушаю в Америке JVKE/Семья трещит по швам/Нужен совет от женщин и мужчин/Отказалась от работ смотреть онлайн 15:08

Что я слушаю в Америке JVKE/Семья трещит по швам/Нужен совет от женщин и мужчин/Отказалась от работ

Новая игра от Likater team :five nights at pop cat смотреть онлайн 01:12

Новая игра от Likater team :five nights at pop cat

Всё тайное становится явным. Последствия самоубийств в роду смотреть онлайн 21:46

Всё тайное становится явным. Последствия самоубийств в роду

Iphone 7 32GB unlocked ref 0570 Reading смотреть онлайн 02:12

Iphone 7 32GB unlocked ref 0570 Reading

Егор Натс - Я не хочу взрослеть (Кавер) смотреть онлайн 01:00

Егор Натс - Я не хочу взрослеть (Кавер)

[Механизмы] Датчик Дневного Света В МАЙНКРАФТ (MINECRAFT) смотреть онлайн 02:37

[Механизмы] Датчик Дневного Света В МАЙНКРАФТ (MINECRAFT)

Страница 1 Вперед →
Рады Вас приветствовать на ruvideo.click, только у нас в кинотеатре у вас есть возможность сделать выбор из огромного количества и посмотреть интересующие онлайн фильмы. Без регистрации, онлайн и при чем совершенно бесплатно вы здесь можете смотреть любой фильм или видео, без отправки смс сообщений и пустой траты денег, все что необходимо это включить и получать удовольствие от просмотра. Лучшего качества видео вы просто не найдете. У нас база видео контента обновляется ежедневно, и это касается не только фильмов, но и сериалов и телепередач. Мировые премьеры как отечественного так и зарубежного кинематографа появляются на сайте одновременно с выходом в прокат. Доброго времени суток и приятного всем просмотра! Лучше чем онлайн кинотеатр ULTRADOX!

Недавно смотрели видео онлайн