RUVIDEO
Г

Геометрия в простых словах: понятные объяснения для школьников

Смотреть все онлайн видео автора канала

How to Download Game Turbo 3.0 apk download in all device Realmi ,Redmi,Samgsaung,Iphone смотреть онлайн 01:26

How to Download Game Turbo 3.0 apk download in all device Realmi ,Redmi,Samgsaung,Iphone

Страница 88-89 Задание 1 – ГДЗ по математике 4 класс (Дорофеев Г.В.) Часть 2 смотреть онлайн 03:03

Страница 88-89 Задание 1 – ГДЗ по математике 4 класс (Дорофеев Г.В.) Часть 2

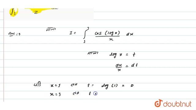
निम्न फलनों के मान ज्ञात कीजिये -  `int_(1)^(3)(cos (logx))/(x)dx` смотреть онлайн 03:11

निम्न फलनों के मान ज्ञात कीजिये - `int_(1)^(3)(cos (logx))/(x)dx`

Аварская хала на барабанах в исполнении Аделины гр Пломба смотреть онлайн 00:16

Аварская хала на барабанах в исполнении Аделины гр Пломба

Масштаб смотреть онлайн 16:13

Масштаб

Доктор кто (Я старше тебя) смотреть онлайн 00:24

Доктор кто (Я старше тебя)

День 3. Ментальная арифметика для родителей. смотреть онлайн 52:13

День 3. Ментальная арифметика для родителей.

Уравнение с модулями смотреть онлайн 28:44

Уравнение с модулями

Алгебра 7 класс Колягин - Задание 22 смотреть онлайн 03:38

Алгебра 7 класс Колягин - Задание 22

ОБЗОР КРЕПЛЕНИЙ WHY NOT DOMINO! смотреть онлайн 03:10

ОБЗОР КРЕПЛЕНИЙ WHY NOT DOMINO!

Бешеные Табуретки Т71. Угар и хардкор с DeSeRtod! смотреть онлайн 37:05

Бешеные Табуретки Т71. Угар и хардкор с DeSeRtod!

Фанфары Немиги  -  Fanfares of Nemiga   Джордж Гершвин  Рапсодия в стиле  блюз смотреть онлайн 07:46

Фанфары Немиги - Fanfares of Nemiga Джордж Гершвин Рапсодия в стиле блюз

Волчок ДВАК В 114 смотреть онлайн 00:32

Волчок ДВАК В 114

Дистанционная литотрипсия смотреть онлайн 02:18

Дистанционная литотрипсия

ЕГЭ 2017 | Задание 3 | В магазине одежды объявлена акция ... ✘ Школа Пифагора смотреть онлайн 02:58

ЕГЭ 2017 | Задание 3 | В магазине одежды объявлена акция ... ✘ Школа Пифагора

निम्न व्यंजकों  के गुणनखण्ड ज्ञात कीजिए -   `x^(2)+6x+9` смотреть онлайн 01:55

निम्न व्यंजकों के गुणनखण्ड ज्ञात कीजिए - `x^(2)+6x+9`

Костер Летний лагерь смотреть онлайн 00:48

Костер Летний лагерь

81 se 90 tak pahada /  पहाड़ा 81 से 90 तक / पहाड़ा भाग 9 смотреть онлайн 08:23

81 se 90 tak pahada / पहाड़ा 81 से 90 तक / पहाड़ा भाग 9

№ 779 - Математика 5 класс Мерзляк смотреть онлайн 01:59

№ 779 - Математика 5 класс Мерзляк

Sagitário-Outubro23?Você precisa parar isso e caminhar.Ataques de Projeções astrais negativas смотреть онлайн 51:03

Sagitário-Outubro23?Você precisa parar isso e caminhar.Ataques de Projeções astrais negativas

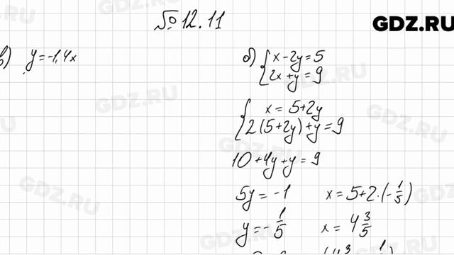
№ 12.11 - Алгебра 7 класс Мордкович смотреть онлайн 05:00

№ 12.11 - Алгебра 7 класс Мордкович

Задание №99 – Гдз по алгебре 8 класс (Макарычев) смотреть онлайн 08:04

Задание №99 – Гдз по алгебре 8 класс (Макарычев)

Test 9 Problem 1 Solution смотреть онлайн 01:20

Test 9 Problem 1 Solution

Упражнение 206 (Вариант 1) – § 8 – Математика 5 класс – Мерзляк А.Г., Полонский В.Б., Якир М.С. смотреть онлайн 01:26

Упражнение 206 (Вариант 1) – § 8 – Математика 5 класс – Мерзляк А.Г., Полонский В.Б., Якир М.С.

Страница 1 Вперед →
Рады Вас приветствовать на ruvideo.click, только у нас в кинотеатре у вас есть возможность сделать выбор из огромного количества и посмотреть интересующие онлайн фильмы. Без регистрации, онлайн и при чем совершенно бесплатно вы здесь можете смотреть любой фильм или видео, без отправки смс сообщений и пустой траты денег, все что необходимо это включить и получать удовольствие от просмотра. Лучшего качества видео вы просто не найдете. У нас база видео контента обновляется ежедневно, и это касается не только фильмов, но и сериалов и телепередач. Мировые премьеры как отечественного так и зарубежного кинематографа появляются на сайте одновременно с выходом в прокат. Доброго времени суток и приятного всем просмотра! Лучше чем онлайн кинотеатр ULTRADOX!

Недавно смотрели видео онлайн