RUVIDEO
С

Стройка Дизайн

Смотреть все онлайн видео автора канала

Автоматическая упаковка пачки сигарет в целлофан целлофанатором Конверт А смотреть онлайн 02:59

Автоматическая упаковка пачки сигарет в целлофан целлофанатором Конверт А

Новинки зарубежной селекции, Черный Коготь, Алинка виноград Теплова Татьяна Теплов Дмитрий смотреть онлайн 06:44

Новинки зарубежной селекции, Черный Коготь, Алинка виноград Теплова Татьяна Теплов Дмитрий

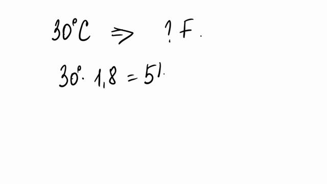
Физика. Урок 1  Температура  Способы ее измерения  Различные виды термометров  Температурные шкалы смотреть онлайн 12:50

Физика. Урок 1 Температура Способы ее измерения Различные виды термометров Температурные шкалы

How to Use Combat Max Roach Killing Gel? | Combat смотреть онлайн 01:17

How to Use Combat Max Roach Killing Gel? | Combat

"ДИЗАЙНЕР ДОМА" - Кабинета руководителя смотреть онлайн 03:50

"ДИЗАЙНЕР ДОМА" - Кабинета руководителя

Форточка в теплице своими руками (танковый люк) смотреть онлайн 02:55

Форточка в теплице своими руками (танковый люк)

Дробилка своими руками. Самодельный комбикорм для свиней смотреть онлайн 08:14

Дробилка своими руками. Самодельный комбикорм для свиней

Дуа на пятницу читать обязательно!   у того, кто прочитает это Дуа, сбудутся все желания! смотреть онлайн 20:19

Дуа на пятницу читать обязательно! у того, кто прочитает это Дуа, сбудутся все желания!

Thomas Aqua Pet&Family обзор ч.2 смотреть онлайн 00:45

Thomas Aqua Pet&Family обзор ч.2

Воздушный домкрат Лукин-Домкрат смотреть онлайн 00:59

Воздушный домкрат Лукин-Домкрат

39 том ПСС Ленин. Великий почин и субботники. Что делать сегодня? смотреть онлайн 02:57:34

39 том ПСС Ленин. Великий почин и субботники. Что делать сегодня?

Параметрический дизайн в интерьере. смотреть онлайн 01:44

Параметрический дизайн в интерьере.

Орхидея Астрид и другие цветочки!!!! смотреть онлайн 12:19

Орхидея Астрид и другие цветочки!!!!

Защита от Солнца. Окно ХОЛОДНОЕ.  Быстро Снимается. Эффективное средство от Жары своими руками смотреть онлайн 02:43

Защита от Солнца. Окно ХОЛОДНОЕ. Быстро Снимается. Эффективное средство от Жары своими руками

Как я украсила спальню. Дом в горной Италии смотреть онлайн 14:34

Как я украсила спальню. Дом в горной Италии

Подготовка купленных семян к посеву смотреть онлайн 11:39

Подготовка купленных семян к посеву

как выращивать микрозелень. смотреть онлайн 04:40

как выращивать микрозелень.

Отзыв о матрасе MaterLux Toskana смотреть онлайн 02:35

Отзыв о матрасе MaterLux Toskana

Обогреватель "Тёплый дом".  Распаковка, обзор. смотреть онлайн 05:45

Обогреватель "Тёплый дом". Распаковка, обзор.

РИСУЮ НА ДАЧНОМ ДОМИКЕ И КАЛИТКЕ. смотреть онлайн 13:22

РИСУЮ НА ДАЧНОМ ДОМИКЕ И КАЛИТКЕ.

Выращивание  лука из семян. Эксибишен, Ред Барон, Порей: Гулливер, Хобот слона, Осенний красавец смотреть онлайн 10:14

Выращивание лука из семян. Эксибишен, Ред Барон, Порей: Гулливер, Хобот слона, Осенний красавец

Wendell & Wild - Opening Scene смотреть онлайн 01:29

Wendell & Wild - Opening Scene

Цветы и зелень для мыльных букетов, август 2020 смотреть онлайн 10:47

Цветы и зелень для мыльных букетов, август 2020

Как украсить двор на новый год украшаем двор к новому году украшение двора к новому году смотреть онлайн 01:54

Как украсить двор на новый год украшаем двор к новому году украшение двора к новому году

Страница 1 Вперед →
Рады Вас приветствовать на ruvideo.click, только у нас в кинотеатре у вас есть возможность сделать выбор из огромного количества и посмотреть интересующие онлайн фильмы. Без регистрации, онлайн и при чем совершенно бесплатно вы здесь можете смотреть любой фильм или видео, без отправки смс сообщений и пустой траты денег, все что необходимо это включить и получать удовольствие от просмотра. Лучшего качества видео вы просто не найдете. У нас база видео контента обновляется ежедневно, и это касается не только фильмов, но и сериалов и телепередач. Мировые премьеры как отечественного так и зарубежного кинематографа появляются на сайте одновременно с выходом в прокат. Доброго времени суток и приятного всем просмотра! Лучше чем онлайн кинотеатр ULTRADOX!

Недавно смотрели видео онлайн